Lab 404 GEOPHYSICS
Thursday, 31 March 2016
Tuesday, 8 December 2015
FISMAT EDUCATION USING CANVAS by ARIZKY
BISNIS MODEL CANVAS
"FISMAT EDUCATION" : Lembaga Les
Privat
A.
Value
Proposition
a. Membantu orang tua untuk pendapatkan guru pembimbing
awalnya orang tua yang membutuhkan guru pembimbing yang berkualitas
untuk mendampingi putra-putrinya belajar dirasa sangat sulit. Hal ini karena
tidak adanya pihak ketiga yang membantu menjaga kualitas guru pembimbing.
Sehingga orang tua pemiliki permasalahan 1. Sulit pendapat guru pembimbing 2.
Ketika telah pendapat guru pembimbing apabila guru pembimbingnya tidak
berkualiatas sulit untuk memberhentikan. Namun dengan adanya FisMat Education
hal ini akan lebih mudah. Fismat education adalah lembaga les privat yang mampu
memberikan solusi bagi para orang tua untuk mendapatkan guru membimbing yang
berkualitas.
b. Membantu mahasiswa mendapatkan penghasilan tambahan
Banyak mahasiswa yang membutuhkan income tambahan untuk hidup di
Surabaya namun mahasiswa-mahasiswa ini sulit menemukan orang tua yang
membutuhkan jasanya sebagai guru pembimbing belajar anaknya. Sehingga dengan
fismat education, mahasiswa akan mudah mendapatkan info orang tua yang
membutuhkan jasa guru les privat.
c. Inovasi Pembayaran
Inovasi pembayaran fee guru pembimbing mempermudah orang tua dan lebih terjaga
kredibilitasnya dalam melakukan pembayaran. Pembayaran fee guru pembimbing
dilakukan via bank. Denga melakukan transfer via bank maka bukti transfer yang
dikeluarkan oleh pihak bank akan menjamin bukti pembayaran yang dilakukan.
Selain itu dengan pembayaran via bank maka orang tua akan lebih mudah karena transfer
via bank bisa dilakukan via e-banking atau sms banking. Jadi bisa dilakukan
dimana saja dan kapan saja.
B. Customer Segmentation
a. Penduduk wilayah Surabaya dan sekitarnya
Target market Fismat education adalah para orang tua yang memiliki
putra-putri SD, SMP, SMA dan orang-orang yang membutuhkan keahlian khusus,
seperti ilmu computer dan bahasa. Segmen konsumen dari fismat education adalah
para orang tua dan orang-orang baik pria maupun wanita yang memiliki pendapatan
per bulan > 5.000.000,-. Target pasar adalah orang tua siswa-siswi SD, SMA,
SMA dan orang yang ingin belajar keahlian khusus di daerah Surabaya dan
sekitarnya.
b. Mahasiswa PTN/PTS di Surabaya
Fismat
education juga memiliki target pasar untuk guru pembimbing adalah mahasiswa
PTN/PTS di Surabaya, seperti UNESA, ITS, UNAIR
dll yang memiliki kemampuan untuk mengajar dan membimbing serta memiliki
kemauan besar untuk menjadi pembimbing karena dapat dijadikan pengalaman untuk
mendukung bidang yang ditekuni di universitas.
C. Channel
a. Advertising
Hal yang dilakukan fismat education dalam penyampaian value kepada konsumen adalah dengan
membuat pamflet dan brosur yang disebarkan di SD, SMP dan SMA
di Kota Surabaya serta menempelkan di
papan pengumuman.
b. Website
FismatEduction.blogspot.com
merupakan website dari lembaga les privat Fismat education, didalamnya memuat
penjelasan kelebihan fismat education, brosur online, nomer hotline, dan
berbagai foto gallery sebagai sarana dalam
mengenalkan fismat
education melalui online.
d. Social Media
fismat education akan aktif di social
media untuk berinteraksi dengan konsumen dan memberikan informasi terhadap
produk jasa yang ditawarkan. Fismat education memanfaatkan beberapa social
media yang sedang trend di masyarakat, seperti twitter, bbm, line, wa dan instagram.
e. The Graph
The graph merupakan software
berbayar yang dimiliki oleh facebook. Software ini mampu mengakses data base
yang dimiliki facebook tentang siapa saja yang menggunakan facebook dan
biodatanya serta berbagai informasi mengenai apa saja yang tulisan yang dikirim
ke facebook. Software ini sangat membantu untuk mengetahui konsumen yang
membutuhkan jasa fismat education.
D. Customer
Relationship
a.
Call Center for Complain Mentor
Call Center, digunakan sebagai sarana bagi konsumen untuk
memberikan kritik dan saran, serta digunakan sebagai sarana untuk complain terhadap guru pembimbing apabila cara mengajar guru pembimbing
tidak sesuai dengan harapan. Sehingga menajemen fismat education akan melakukan
pergantian mentor.
b. Sponshorship
Melakukan kegiatan sponshorship terhadap target
market, dengan memberikan supportnya terhadap event-event kampus berupa fresh
money maupun berbentuk voucher.
E. Revenue Stream
a. Pembayaran kartu kredit
Pembayaran orang tua untuk jasa les privat akan diakumulasi dalam setiap bulannya dan akan
dibayarkan via bank pada awal bulan berikutnya. Pembayaran bisa dialakuakn
dengan transfer uang ke rekening bca, bni dan mandiri. Omset fismat education
perbulan berkisar antara 5-6 juta.
F. Key
Resources
a.
Physical
1. Laptop
Laptop digunakan untuk
menjalankan software the graph sehingga dapat manfaatkan untuk mengetahui calon
konsumen fismat education.
2. Handphone
Handphone merupakan alat komunikasi untuk menghubungan calon konsumen,
konsumen, dan guru pembimbing dengan menajemen fismat education sehingga
komunikasi dan kerjasama tetap terjaga.
B.
Human
1.
CEO (Chief Excutive Officer)
Orang yang yang mengatur semua
regulasi dan pengambil keputasan. Dalam bisnis ini CEO juga bertindak sebagai
owner sekaligus pemberi modal.
2.
COO (Chief Operating Officer)
Orang yang bekerja sebagai pusat informasi fismat education dengan jobdesk menerima telpon
atau replay sms/wa/line dll dari konsumen. COO juga bertanggung jawab terhadap
guru pembimbing bagi siswa-siswi fismat education.
3.
CMO (Chief Marketing Officer)
Orang yang bekerja untuk
mencari konsumen. Bisa dilakukan dengan mencari via online maupun offline.
4.
CFO (Chief Finnacial Officer)
Keuangan suatu perusahaan
ialah cermin dari kinerja ataupun perputaran yang terjadi di dalam perusahaan
itu sendiri. Dalam membangun bisnis ini, awalnya akan menggunakan modal pribadi
yang menjadi faktor utama. Besar kecilnya modal juga akan berdampak pada bentuk
bisnisnya. Tanpa dukungan modal, bisnis tidak akan berjalan. Namun jika bisnis
sudah berjalan, kauangan yang terjadi didalam harus terlihat transparan dan
jelas untuk mengurangi resiko kecurangan.
G. Key
Activities
a.
Marketing
Proses pemasaran berlangsung dengan memulai untuk
melakukan kegiatan promosi dengan membagiakan
pamfle dan brosur fismat education terhadap target pasar yang mana fismat education mentargetkan konsumen yang berasal dari kalangan orang tua siswa-siswi SD, SMP, SMA di Kota Surabaya. Proses marketing juga dilakukan melalui social media serta bekerja sama
dengan surat kabar dalam kolom iklan baris yang ditawarkan oleh jawa pos.
b.
Monitoring
Monitoring kinerja guru pembimbing sengan cara menghubungi orang tua wali murid
sehingga dapat terjaga kepuasan dari orang tua dan siswa yang menggunakan jasa
fismat education.
H. Key Partnership
a.
Surat kabar Surabaya
Fismat education bekerjasama
dengan penyedia surat kabar Surabaya, sperti jawa pos, kompas, surya dan lainya
untuk mendukung proses pemasaran fismat education.
b. Mahasiswa-mahasiswi surabaya
Fismat education didirikan
oleh mahasiswa sehingga dalam pengembangannya pun tidak lepas dengan mahasiswa.
Fismat education bekerjasama dengan perkumpulan mahasiswa PTN maupun PTS
disurabaya. Mahasiswa merupakan keyresourse utama fismat eduction dalam
menggerakan roda bisnisnya, sehingga hubungan baik dengan mahsiswa harus
diutamakan.
I. Cost
Structure
a.
Biaya pemasaran
Biaya-biaya
yang dikeluarkan untuk pemasaran, seperti
menggunakan jasa surat kabar melalui iklan baris., print brosur dan pamphlet
serta pembelian software the graph.
b.
Biaya operasional
Pembelian pulsa dan paket
internet setiap setiap bulan.
c.
Fee guru pembimbing
Fee guru pembimbing ditentukan
oleh banyak pertemuan dalam satu bulan.
LAMPIRAN-LAMPIRAN
Lampiran 1 : Keuangan (Anggaran Biaya,
Estimasi pendapatan, BEP) .
Lampiran 2 : Foto Produk
Lampiran 3 : Business Model Canvas
Tuesday, 12 May 2015
MONITORING PERSEBARAN RETAKAN (FRACTURE) SEBAGAI COLLAPSE POTENTIAL ESTIMATION PADA TANGGUL LUSI MENGGUNAKAN METODE VLF-EM
PROPOSAL
PROGRAM KREATIVITAS MAHASISWA
JUDUL PROGRAM
MONITORING
PERSEBARAN RETAKAN (FRACTURE) SEBAGAI COLLAPSE POTENTIAL ESTIMATION PADA
TANGGUL LUSI MENGGUNAKAN METODE VLF-EM
BIDANG KEGIATAN :
PKM PENELITIAN
Diusulkan oleh :
Muhamad
Aris Burhanudin (1112100086) Angkatan 2012
Yoseph Wahyu Saputra Wisnu
(1111100050) Angkatan 2011
Romandah Kusuma Nur
Febriana (1113100001) Angkatan
2013
Dini Fadila (1113100050) Angkatan
2013
Muchamad Fauzy (1114100071) Angkatan 2014
INSTITUT TEKNOLOGI SEPULUH NOPEMBER
SURABAYA
2015
Abstrak
LUSI adalah
peristiwa menyemburnya lumpur di daerah Porong Sidoarjo sejak 2006 lalu yang
disebabkan oleh adanya reaktivasi mud volcano.
Untuk mengurangi luberan LUSI
maka dibuatlah bendungan. Lumpur yang terus menerus keluar menyebabkan
tanggul terus mengalami peninggian akibatnya beberapa kali tanggul jebol karena tidak mampu menahan LUSI. Secara umum
ketidakstabilan tanggul disebabkan oleh saturasi air, fracture dan patahan. Salah satu metode geofisika yang paling
efektif untuk memonitoring retakan (fracture)
adalah VLF-EM karena memiliki keunggulan dalam mendeteksi retakan-retakan yang
sempit sehingga dapat diketahui bagian tanggul yang berpotensi jebol paling besar.
Akuisis data
didisain dalam 4 lintasan dengan masing-masing lintasan sepanjang 200 m dan
interval yang digunakan adalah 4 m. sehingga didapatkan 200 titik data. Dari
data yang telah didapatkan dilakukan koreksi menggunakan Microsoft excel,
inv2DVLF dan MATLAB. Hasil akhir penelitian ini adalah pencitraan bawa
permukaan tanggul LUSI dan penentuan bagian tanggul berpotensi jebol paling besar.
Karya penelitian
ini diharapkan menjadi referensi bagi BPLS(Badan Penanggulangan Lumpur
Sidoarjo) dalam melakukan pengembangan tanggul LUSI. Nantinya karya ini akan
dipublikasikan dalam jurnal nasional maupun internasional.
Kata kunci : LUSI, retakan, VLF-EM
Dokumentasi Penelitian
Wednesday, 18 March 2015
solution of 2D poisson equation(no.2, chapter3, Taras Gerya)
thanks to Mr.Sungkono, Boss Asdi Presetyo, Boss Jordan Eko Setiyawan who have shared at whole night.
clear all;
clc;
L=zeros(1271,1271);
px=1000/30;
py=1500/40;
for i=43:1229
n=41;
L(i,i-1)=1/py;
L(i,i+1)=1/px;
L(i,i-n)=1/px;
L(i,i+n)=1/py;
end
for i=1:29
n=41;
L(i*n+1,:)=0;
L(i*n,:)=0;
end
for i=1:1271
L(i,i)=(-2/px)+(-2/py);
end
R=zeros(1271,1);
for i=43:1228
R(i,1)=1;
end
for i=1:29
n=41;
R(i*n+1)=0;
R(i*n)=0;
end
L
R
x=L\R
for i=1:1:41
for j=1:1:31
k = (j-1)*41+i;
phi(i,j) = x(k);
end
end
phi
% Making vectors for nodal points positions
x=1:31; % Horizontal
y=1:41; % Vertical
% Making new figure
figure(1);
% Plotting solution
surf(x,y,phi);
light;
shading interp;
colorbar;
lighting phong;
title('Solution of 2D Poisson equation')
xlabel('x, km')
ylabel('y, km')
zlabel('Gravity potential, J/kg')
I belive that what I write above have any lack. I sincerely receive any comment to make it better. thanks
clear all;
clc;
L=zeros(1271,1271);
px=1000/30;
py=1500/40;
for i=43:1229
n=41;
L(i,i-1)=1/py;
L(i,i+1)=1/px;
L(i,i-n)=1/px;
L(i,i+n)=1/py;
end
for i=1:29
n=41;
L(i*n+1,:)=0;
L(i*n,:)=0;
end
for i=1:1271
L(i,i)=(-2/px)+(-2/py);
end
R=zeros(1271,1);
for i=43:1228
R(i,1)=1;
end
for i=1:29
n=41;
R(i*n+1)=0;
R(i*n)=0;
end
L
R
x=L\R
for i=1:1:41
for j=1:1:31
k = (j-1)*41+i;
phi(i,j) = x(k);
end
end
phi
% Making vectors for nodal points positions
x=1:31; % Horizontal
y=1:41; % Vertical
% Making new figure
figure(1);
% Plotting solution
surf(x,y,phi);
light;
shading interp;
colorbar;
lighting phong;
title('Solution of 2D Poisson equation')
xlabel('x, km')
ylabel('y, km')
zlabel('Gravity potential, J/kg')
I belive that what I write above have any lack. I sincerely receive any comment to make it better. thanks
Tuesday, 17 March 2015
solution 2D POISSON equation
Alhamdulillah...
I hope Allah SWT keep me from USELESS knowledge, keep me from VAIN activity, keep me from NO SOLEMN feeling, keep me from unsatisfied desire, and keep me from unanswered prayer. amin
then, I would like to give enormous thank to Mr Sungkono M.Si who forces me to study computation physics and always inspire me in using MATLAB.
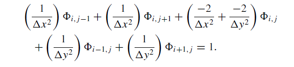
now we try to get solution of 2D Poisson equation using finite differences and we will visualise the solution. the governing equation is given by
we use regular grid of 5 X 5 points and the model size 50 X 50 km. A finite-difference representation of the Poisson equation in 2D can be derived
then, we will get desain of node that we need to find the solution in a node. see this figure,
then the general solution
note: you have to change general solution value indices from geometrical indices(i and j) to global index of unknown k.
where Ny is vertical resolution.
L=zeros(25,25);
p=50/4;
q=50/4;
for k=1:5
L(k,k)=1;
end
for k=7:19
n=5;
L(k,k)=(-2/p)+(-2/q);
L(k,k-1)=1/q;
L(k,k+1)=1/p;
L(k,k-n)=1/p;
L(k,k+n)=1/q;
end
for k=21:25
L(k,k)=1;
end
for k=1:3
n=5;
L(k*n+1,:)=0;
L(k*n,:)=0;
end
for k=1:25
L(k,k)=(-2/p)+(-2/q);
end
R=zeros(25,1);
for k=7:19
R(k,1)=1;
end
for k=1:4
n=5;
R(k*n+1)=0;
R(k*n)=0;
end
L
R
x=L\R
for i=1:1:5
for j=1:1:5
k = (j-1)*5+i;
phi(i,j) = x(k);
end
end
phi
% Making vectors for nodal points positions
x=1:5; % Horizontal
y=1:5; % Vertical
% Making new figure
figure(1);
% Plotting solution
surf(x,y,phi);
light;
shading interp;
colorbar;
lighting phong;
title('Solution of 2D Poisson equation')
xlabel('x, km')
ylabel('y, km')
zlabel('Gravity potential, J/kg')
I hope Allah SWT keep me from USELESS knowledge, keep me from VAIN activity, keep me from NO SOLEMN feeling, keep me from unsatisfied desire, and keep me from unanswered prayer. amin
then, I would like to give enormous thank to Mr Sungkono M.Si who forces me to study computation physics and always inspire me in using MATLAB.
now we try to get solution of 2D Poisson equation using finite differences and we will visualise the solution. the governing equation is given by
we use regular grid of 5 X 5 points and the model size 50 X 50 km. A finite-difference representation of the Poisson equation in 2D can be derived
then, we will get desain of node that we need to find the solution in a node. see this figure,
then the general solution
note: you have to change general solution value indices from geometrical indices(i and j) to global index of unknown k.
where Ny is vertical resolution.
L=zeros(25,25);
p=50/4;
q=50/4;
for k=1:5
L(k,k)=1;
end
for k=7:19
n=5;
L(k,k)=(-2/p)+(-2/q);
L(k,k-1)=1/q;
L(k,k+1)=1/p;
L(k,k-n)=1/p;
L(k,k+n)=1/q;
end
for k=21:25
L(k,k)=1;
end
for k=1:3
n=5;
L(k*n+1,:)=0;
L(k*n,:)=0;
end
for k=1:25
L(k,k)=(-2/p)+(-2/q);
end
R=zeros(25,1);
for k=7:19
R(k,1)=1;
end
for k=1:4
n=5;
R(k*n+1)=0;
R(k*n)=0;
end
L
R
x=L\R
for i=1:1:5
for j=1:1:5
k = (j-1)*5+i;
phi(i,j) = x(k);
end
end
phi
% Making vectors for nodal points positions
x=1:5; % Horizontal
y=1:5; % Vertical
% Making new figure
figure(1);
% Plotting solution
surf(x,y,phi);
light;
shading interp;
colorbar;
lighting phong;
title('Solution of 2D Poisson equation')
xlabel('x, km')
ylabel('y, km')
zlabel('Gravity potential, J/kg')
Tuesday, 17 February 2015
how to install GMT
now, I would like to share how to install GMT on windows. this is based on my own experience. first of all you have to have the installer of GMT. you can visit it to download GMT installer, choose your windows bit. 32 or 64 bit.
then you also have to download GhostScript (for reading postscript language) and GhostView (for graphical interface of GhostScript for windows) to display the GMT result and GAWK, which honestly I still don't know the function of it, but at first just do my command.
just click "next" until you finish install it then restart your computer.
to make sure that your GMT installed well, open command prompt that type "pscoast". if GMT have installed properly it will appear pscoast definition and options of pscoast command.
then you also have to download GhostScript (for reading postscript language) and GhostView (for graphical interface of GhostScript for windows) to display the GMT result and GAWK, which honestly I still don't know the function of it, but at first just do my command.
just click "next" until you finish install it then restart your computer.
to make sure that your GMT installed well, open command prompt that type "pscoast". if GMT have installed properly it will appear pscoast definition and options of pscoast command.
what is GMT???
GMT or Generic Mapping Tools is an open source software which has about 80 command line tools for manipulating geographic and Cartesian data sets (including filtering, trend fitting, projecting etc) and illustrating PostScript ranging from x-y plots until 3D perspective views, such as river, limit state design, altitude mountain, ocean depth etc. GMT supports over 30 map projections and transformation and also GMT supplements add 40 more specialized and discipline-specific tools. to make GMT runs well, it requires supporting data such as GSHHG and DCW. GMT is developed and maintained by Paul Wessel, Walter H. F. Smith, Remko Scharroo, Joaquim Luis and Florian Wobbe, with help from a global set of volunteers, and is supported by the National Science Foundation. It is released under theGNU Lesser General Public License version 3 or any later version.
commonly, GMT is used to map seismic zone and meteorology for displaying earthquake distribution, tsunami modelling etc. the superiority of GMT is that the software is free.
we can install GMT in linux, windows, or OS X. you can download it in
I hope it is useful.
Subscribe to:
Comments (Atom)











